MAX RANK:
- Regularly earns bonus AP through Meditation.
- Meditation continues only while you are logged in with any character on this account.
- Time needed to earn bonus AP is displayed on the right side of the Meditation skill.
Additional Details[]
Meditation allows the player to gain 1 AP per hour, even when the player isn't online. The AP countdown timer can be further reduced by gaining ranks in the Meditation skill, each rank (including rank F) reducing the wait time by 90 seconds. The player's Intelligence stat also reduces the timer, but to a lesser degree; for every 6.6667 points of Intelligence, the wait time is reduced by one second, up to a maximum of 2000 Intelligence. This timer can be viewed in the in-game Skills page.
Be careful when deciding whether or not to invest AP in Meditation. Meditation does increase AP gain, but additional ranks in Meditation are costly, and it takes a long time to break even. The exact amount of time required to offset the AP cost for each rank of Meditation, and the formulas used to make these calculations, are given below.
Meditation Timer Calculations[]
If you max out the meditation skill than if will take you 50.71 days before you start going positive in free AP from this skill. Please view below for the calculation for how long it will take to max itself out if you only invest the AP generated from this skill back into the skill.
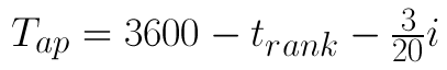
Calculating the Meditation Timer[]
![]()
Tap = The amount of time required to gain 1 AP (in seconds).
trank = The time reduction given by the Meditation skill (in seconds).
i = The character's Intelligence, capped at 2000 (if the character's Intelligence is over 2000, use i=2000).
Time Required to Break Even[]
This formula determines how long it would take for a rank in Meditation to generate the amount of AP spent on that rank.

tp = Time required to break even (in seconds)
costap = AP spent to reach higher rank from lower rank
Tβ = AP interval of higher rank
Tα = AP interval of lower rank
How to Obtain[]
- Reach level 2.
Summary[]
| Rank | F | E | D | C | B | A |
|---|---|---|---|---|---|---|
| Required Level | 2 | 6 | 35 | 50 | 65 | 80 |
| Meditation time decrease (s) | 90 | 90 | 90 | 90 | 90 | 90 |
| Meditation time decrease (s) (Total) | 90 | 180 | 270 | 360 | 450 | 540 |
| Cooldown time | 58m, 30s | 57m | 55m, 30s | 54m | 52m, 30s | 51m |
| Time required to break even (rounded) | 0d | 185d | 263d | 314d | 357d | 395d |
| Time required to break even with 2000 INT | 0d | 155d | 219d | 261d | 296d | 326d |
| AP Gain per hour | 1.026 | 1.053 | 1.081 | 1.111 | 1.143 | 1.176 |
| AP gain per day | 24.6 | 25.3 | 25.9 | 26.7 | 27.4 | 28.2 |
| Required AP | 0 | 120 | 230 | 295 | 360 | 425 |
| Required AP (Total) | 0 | 120 | 350 | 645 | 1005 | 1430 |
Ranks[]
| Rank | Req. Level | Effects | AP |
|---|---|---|---|
| F | 2 | AP bonus time -90 seconds | 0 |
| E | 6 | AP bonus time -180 seconds | 120 |
| D | 35 | AP bonus time -270 seconds | 230 |
| C | 50 | AP bonus time -360 seconds | 295 |
| B | 65 | AP bonus time -450 seconds | 360 |
| A | 80 | AP bonus time -540 seconds | 425 |
| ||||||||||||||
